sábado, 5 de mayo de 2007

TEMARIO

5.1.-ELECTROESTATICA

-CARGA ELECTRICA
-ELECTRIZACION DE LOS CUERPOS
-ELECTROSCOPIO
-DISTRIBUCION DE LA CARGA
-CAMPO ELECTRICO
-POTENCIAL ELECTRICO
-LEY DE COULOMB
-CONDENSADOR
-CIRCUITOS CON CONDENSADORES SERIE,
PARALELO Y MIXTO





5.2.-ELECTRODINAMICA

-CORRIENTE ELECTRICA C.D. Y C.A.
-CIRCUITOS CON RESISTENCIAS SERIE,
PARALELO Y. MIXTO
-LEY DE OHM
-RESOLUCION DE PROBLEMAS

INTRODUCCION

Esta investigación va a tratar y explicar temas principales que intervengan con el de la electricidad para así facilitar la comprensión de estos. En esta investigación se viene trabajando desde el concepto de electricidad y como es que funcionan algunas cosas así como los distintos tipos de circuitos existentes, además de las unidades en las cuales se trabaja la electricidad.
Además de que sin darnos cuenta estos principios y teorías están presentes en nuestra vida cotidiana, en este caso por el simple hecho de encender un foco.





OBJETIVO

El objetivo de esta investigación es dar a conocer información acerca de la electricidad y como esta relacionada con el tema principal de proyecto aula acerca de los medios electrónicos para el aprendizaje. Además de poder analizar y entender algunos nuevos conceptos acerca de la electricidad ya que este es un tema nuevo el cual lo estamos desarrollando por medio de esta investigación que se espera ser explicita y entendible para el lector.












ELECTOSTATICA

La electrostática es la rama de la física que estudia los fenómenos eléctricos producidos por distribuciones de cargas estáticas. La electrostática estudia las fuerzas eléctricas producidas por distribuciones de cargas a través de conceptos tales como el campo electrostático y el potencial eléctrico, y de leyes físicas como la ley de Coulomb.

CARGA ELECTRICA

La carga eléctrica es una propiedad intrínseca de algunas partículas sub-atómicas que se manifiesta mediante atracciones y repulsiones que determinan las interacciones electromagnéticas entre ellas. La materia cargada eléctricamente es influida por los campos electromagnéticos siendo, a su vez, generadora de ellos. La interacción entre carga y campo eléctrico es la fuente de una de las cuatro fuerzas fundamentales, la fuerza electromagnética.

La carga eléctrica es de naturaleza discreta, fenómeno demostrado experimentalmente por Robert Millikan. Por definición, los electrones tienen carga -1, también notada -e. Los protones tienen la carga opuesta, +1 o +e.

ELECTRIZACIÓN DE LOS CUERPOS

Existen distintos tipos de electrización de cuerpos:

a) ELECTRIZACIÓN POR CONTACTO
Se puede cargar un cuerpo con sólo tocarlo con otro previamente cargado. En este caso, ambos quedan con el mismo tipo de carga, es decir, si toco un cuerpo neutro con otro con carga positiva, el primero también queda con carga positiva.
b) ELECTRIZACIÓN POR FROTAMIENTO
Al frotar dos cuerpos eléctricamente neutros (número de electrones = número de protones), ambos se cargan, uno con carga positiva y el otro con carga negativa.c) ELECTRIZACIÓN POR INDUCCIÓN
Un cuerpo cargado eléctricamente puede atraer a otro cuerpo que está neutro. Cuando acercamos un cuerpo electrizado a un cuerpo neutro, se establece una interacción eléctrica entre las cargas del primero y el cuerpo neutro.
Decimos entonces que aparecen cargas eléctricas inducidas. Entonces el cuerpo electrizado induce una carga con signo contrario en el cuerpo neutro y por lo tanto lo atrae.

ELECTROSCOPIO

El electroscopio es un instrumento que permite determinar la presencia de cargas eléctricas y su signo.
Un electroscopio sencillo consiste en una varilla metálica vertical que tiene una bolita en la parte superior y en el extremo opuesto dos láminas de oro muy delgadas. La varilla está sostenida en la parte superior de una caja de vidrio transparente con un armazón de metal en contacto con tierra. Al acercar un objeto electrizado a la esfera, la varilla se electrifica y las laminillas cargadas con igual signo que el objeto se repelen, siendo su divergencia una medida de la cantidad de carga que han recibido. La fuerza de repulsión electrostática se equilibra con el peso de las hojas. Si se aleja el objeto de la esfera, las láminas, al perder la polarización, vuelven a su posición normal.

DISTRIBUCION DE LA CARGA

La distribución de energía eléctrica es la actividad que se realiza para transportar la electricidad desde los centros de producción a los puntos de consumo. Para ello, la electricidad pasa por algunas transformaciones, que se llevan a cabo en instalaciones denominadas subestaciones eléctricas.

CAMPO ELECTRICO

La carga eléctrica se encuentra siempre rodeada por un campo eléctrico. Las cargas de diferente signo se atraen y las de igual signo se repelan, aun cuando se encuentren separadas. Esto quiere decir que las cargas eléctricas influyen sobre la región que esta a su alrededor; la región de influencia recibe el nombre de campo eléctrico. El campo eléctrico es invisible pero su fuerza ejerce acciones sobre los cuerpos cargados y por ello es fácil detectar su presencia así como medir su intensidad.
La intensidad de un campo eléctrico es una medida de la fuerza que se ejerce sobre una pequeña carga de prueba colocada en el campo. (la carga de prueba debe ser suficientemente pequeña para no empujar la carga original y alterar de esta manera el calor que tratamos de medir.) Si una carga de prueba q experimenta una fuerza F en algún punto del espacio, entonces el campo eléctrico E en ese punto es
E=F/q
La intensidad del campo eléctrico se mide en unidades de newtons por coulombs (N/C), o bien, lo que es equivalente, vlolts por metro (V/m)

POTENCIAL ELECTRICO

Una carga eléctrica situada dentro de un campo eléctrico tendrá una energía potencial eléctrica o simplemente un potencial eléctrico, pues la fuerza que ejerce el campo es capaz de realizar un trabajo al mover la carga.

Toda carga positiva o negativa, tiene un potencial eléctrico debido a sus capacidades para hacer un trabajo sobre otras cargas.

Un potencial eléctrico es positivo si al conectar un cuerpo a tierra, por medio de un conductor eléctrico, los electrones fluyen desde el suelo al cuerpo; y será negativo si al conectar a tierra los electrones fluyen en dirección inversa

V = potencial eléctrico
T = trabajo
q = unidad de carga positiva, desde el potencial cero (tierra) hasta el punto considerado

V = T/q = joules / coulomb = volt

LEY DE COULMB



El enunciado que describe la ley de Coulomb es el siguiente:
"La magnitud de cada una de las fuerzas eléctricas con que interactúan dos cargas puntuales es directamente proporcional al producto de las cargas e inversamente proporcional al cuadrado de la distancia que las separa."
En términos matemáticos, la magnitud F de la fuerza que cada una de las dos cargas puntuales q1 y q2 ejerce sobre la otra separadas por una distancia r se expresa como:

Dadas dos cargas puntuales q1 y q2 separadas una distancia r en el vacío, se atraen o repelen entre sí con una fuerza cuya magnitud esta dada por:






















CONDENSADOR

En electricidad y electrónica, un condensador, — denominado también con el anglicismo capacitor — es un dispositivo formado por dos conductores o armaduras, generalmente en forma de placas o láminas separados por un material dieléctrico, que, sometidos a una diferencia de potencial (d.d.p.) adquieren una determinada carga eléctrica.

CIRCUITOS CON CONDENSADORES SERIE Y PARALELO



CIRCUITO SERIE
El circuito serie es una configuración de conexión en que los bornes o terminales de los dispositivos se conectan secuencialmente, el terminal de salida de un dispositivo se conecta al terminal de entrada del dispositivo siguiente.
A modo de ejemplo, en la siguiente figura se muestran varios condensadores en serie y el valor del condensador equivalente:






CIRCUITO PARALELO
El circuito paralelo es una conexión de dispositivos tal, que los bornes o terminales de entrada de todos los dispositivos conectados coincidan entre sí, lo mismo que sus terminales de salida.
A modo de ejemplo, en la siguiente figura se muestran varios condensadores en paralelo y el valor de su equivalente:


Ceq = C1 + C2 + ... + Cn

ELECTRODINAMICA

La electrodinámica es la rama del electromagnetismo que trata de la evolución temporal en sistemas donde interactúan campos eléctricos y magnéticos con cargas en movimiento.

CORRIENTE ELECTRICA C.D Y C.A



-CORRIENTE ELÉCTRICA C.D Y C.A
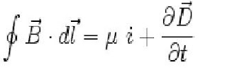
La corriente eléctrica es el flujo de portadores de carga eléctrica, normalmente a través de un cable metálico o cualquier otro conductor eléctrico, debido a la diferencia de potencial creada por un generador de corriente.La ecuación que la describe en electromagnetismo, en donde es la densidad de corriente de conducción y es el vector normal a la superficie, es





CORRIENTE DE DESPLAZAMIENTO C.D







Se denomino corriente de desplazamiento. La razón de la denominación es que este término describe las corrientes eléctricas debidas a los desplazamientos, pequeños pero cruciales, de los "centros de gravedad" de las cargas atómicas y moleculares, es decir, las originadas por la polarización eléctrica de la materia. Sin este término las ecuaciones de Maxwell no podrían explicar las ondas electromagnéticas. La corriente de desplazamiento restituye la conservación de la corriente en los circuitos que contienen condensadores.


CORRIENTE ALTERNA
La Corriente Alterna se comporta como su nombre lo indica. Los electrones del circuito se desplazan primero en una dirección y luego en sentido opuesto, con un movimiento de vaivén en torno a posiciones relativamente fijas. Esto se consigue alternando la polaridad del voltaje del generador o de otra fuente. La popularidad de que goza la Corriente Alterna proviene del hecho de que la energía eléctrica en forma de ca se puede transmitir a grandes distancias por medio de fáciles elevaciones de voltaje que reducen las pérdidas de calor en los cables.

CIRCUITOS CON RESISTENCIA EN SERIE Y PARALELO



CIRCUITO EN SERIE
El circuito en serie presenta las siguientes características:

1.- la corriente eléctrica dispone de un solo camino para recorrer el circuito. Esto significa que la corriente que pasa por cada uno de los dispositivos eléctricos es la misma.
2.- al paso de la corriente se opone la resistencia del primer dispositivo, la resistencia del segundo y también la del tercero, así que la resistencia total que opone el circuito al paso de la corriente es la suma de las resistencias individuales a lo largo del circuito.
3.- el valor numérico de la corriente es igual al cociente del voltaje que suministra la fuente entre la resistencia total del circuito, conforme a la ley de ohm.


CIRCUITO EN PARALELO

El circuito en paralelo presenta las siguientes características:


1.- Todos los dispositivos están conectados a los mismos dos puntos a y b del circuito, por tanto, el voltaje es el mismo para todos ellos.
2.- La corriente total del circuito se divide entre las ramas paralelas. La corriente pasa con más facilidad por los dispositivos cuya resistencia es pequeña: por tanto, la corriente en cada rama es inversamente proporcional a la resistencia de la rama. La ley de ohm se aplica a cada rama por separado.
3.- La corriente total en el circuito es igual a la suma de las corrientes en sus ramas paralelas..

LEY DE OHM

Dice:
La intensidad de la corriente electrica que pasa por un conductor en un circuito es directamente proporcional a la diferencia de potencial aplicada a sus extremos e inversamente proporcional a la resistencia del conductor

I = V / R ¨ V = IR


DONDE:
V = diferencia de potencial aplicado a los extremos del conductor de volts
R = resistencia del conductor en ohm/s
I = intensidad de la corriente que circula por el conductor en amperes



GLOSARIO

CAMPO ELÉCTRICO: campo de fuerza que llena el espacio que rodea a toda carga eléctrica o grupo de cargas eléctricas. Se mide en términos de fuerza por carga (n/c)


CAPACITOR: dispositivo que sirve para almacenar carga en un circuito.


CARGA: propiedad eléctrica fundamental a la cual se atribuyen las atracciones o repulsiones mutuas entre electrones y protones.


CIRCUITO: cualquier trayectoria cerrada que permite el flujo de carga.


CIRCUITO EN PARALELO: circuito eléctrico en el cual se conectan dispositivos a los mismos dos puntos del circuito, de modo que cualquiera de los dispositivos individuales complete el circuito con independencia de los otros.


CIRCUITOS EN SERIE: circuito eléctrico en el cual los dispositivos están dispuestos de tal modo que la carga fluye por cada uno de ellos sucesivamente. si una parte del circuito interrumpe la corriente, esta se interrumpe en todo el circuito.


COULOMB: unidad de carga del sistema internacional (si). Un coulomb es igual a la carga total de 6.24x10^18 electrones.


LEY DE COULOMB: relación entre fuerza eléctrica, cargas y distancia: la fuerza eléctrica entre dos cargas varia de manera directa con el producto de las cargas e inversamente con el cuadrado de la distancia que las separa.


LEY DE OHM: ley que establece que la corriente que fluye en un circuito es directamente proporcional al voltaje que se le aplica e inversamente proporcional a su resistencia.

BIBLIOGRAFIA

LIBROS

FISICA II, HECTOR PERZ MONTIEL

HEWITT, PAUL G.
FISICA CONCEPTUAL
ADDISON WESLEY LONGMAN, México, 1999



PAGINAS DE INTERNET

http://es.wikipedia.org/wiki/Electrost%C3%A1tica

http://es.wikipedia.org/wiki/Electrodin%C3%A1mica

http://es.wikipedia.org/wiki/Electroscopio

http://es.wikipedia.org/wiki/Carga_el%C3%A9ctrica

www.unicrom.com/Tut_circuitoRC.asp

www.emagister.com/circuitos-electricos-ts.htm

http://w3.cnice.mec.es/recursos/bachillerato/tecnologia/manual/electric/resist/cmixto.htm